domingo, 29 de enero de 2012

SEMANA N°2

Cordial saludo estimados alumnos del curso de Mate V( ecuaciones diferenciales), para está semana correponde revisar algunos métodos de solución de ecuaciones diferenciales de primer orden:

Diapositivas:

ARCHIVO1

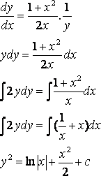
Actividades: (método separación de variables)

ACTIVIDAD2

No hay comentarios:

Publicar un comentario